Etifelmine

Etifelmine
Clinical data
ATC code
  • none
Identifiers
IUPAC name
  • 2-(Diphenylmethylidene)butan-1-amine
CAS Number
PubChem CID
ChemSpider
UNII
ChEMBL
CompTox Dashboard (EPA)
Chemical and physical data
FormulaC17H19N
Molar mass237.346 g·mol−1
3D model (JSmol)
SMILES
  • C(=C(/c1ccccc1)c2ccccc2)(\CN)CC
InChI
  • InChI=1S/C17H19N/c1-2-14(13-18)17(15-9-5-3-6-10-15)16-11-7-4-8-12-16/h3-12H,2,13,18H2,1H3 checkY
  • Key:WNKCJOWTKXGERE-UHFFFAOYSA-N checkY
  (verify)

Etifelmine (INN; also known as gilutensin) is a stimulant drug. It was used for the treatment of hypotension (low blood pressure).[1]

Synthesis

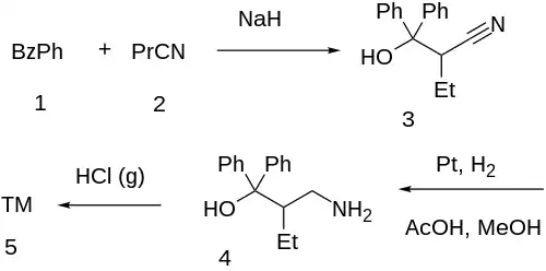
Thieme Patent:[2]

The base catalyzed reaction between benzophenone [119-61-9] (1) and butyronitrile [109-74-0] (2) gives 2-[hydroxy(diphenyl)methyl]butanenitrile [22101-20-8] (3). Catalytic hydrogenation reduces the nitrile group to a primary amine giving 1,1-diphenyl-2-ethyl-3-aminopropanol [22101-87-7] (4). The tertiary hydroxyl group is dehydrated by treatment with anhydrous hydrogen chloride gas, completing the synthesis of Etifelmine (5).

See also

References

  1. Poepelmann H (August 1964). "The treatment of hypotensive circulatory disorders with gilutensin". Therapie der Gegenwart (in German). 103: 1007–12. PMID 14254672.
  2. Dr Werner Heinrich & Dr Walter Heigel, DE 1122514 (1962 to Giulini Gmbh Geb).
This article is issued from Wmcloud. The text is licensed under Creative Commons - Attribution - Sharealike. Additional terms may apply for the media files.