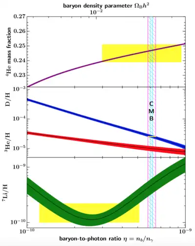
In astronomy, the lithium problem or lithium discrepancy refers to the discrepancy between the primordial abundance of lithium as inferred from observations of metal-poor (Population II) halo stars in our galaxy and the amount that should theoretically exist due to Big Bang nucleosynthesis+WMAP cosmic baryon density predictions of the CMB. Namely, the most widely accepted models of the Big Bang suggest that three times as much primordial lithium, in particular lithium-7, should exist. This contrasts with the observed abundance of isotopes of hydrogen (1H and 2H) and helium (3He and 4He) that are consistent with predictions.[1] The discrepancy is highlighted in a so-called "Schramm plot", named in honor of astrophysicist David Schramm, which depicts these primordial abundances as a function of cosmic baryon content from standard BBN predictions.

Origin of lithium
Minutes after the Big Bang, the universe was made almost entirely of hydrogen and helium, with trace amounts of lithium and beryllium, and negligibly small abundances of all heavier elements.[3]
Lithium synthesis in the Big Bang
Big Bang nucleosynthesis produced both lithium-7 and beryllium-7, and indeed the latter dominates the primordial synthesis of mass 7 nuclides. On the other hand, the Big Bang produced lithium-6 at levels more than 1000 times smaller.
7
4Be
later decayed via electron capture (half-life 53.22 days) into 7
3Li
,
so that the observable primordial lithium abundance essentially sums primordial 7
3Li
and radiogenic lithium from the decay of 7
4Be
.
These isotopes are produced by the reactions
and destroyed by
The amount of lithium generated in the Big Bang can be calculated.[4] Hydrogen-1 is the most abundant nuclide, comprising roughly 92% of the atoms in the Universe, with helium-4 second at 8%. Other isotopes including 2H, 3H, 3He, 6Li, 7Li, and 7Be are much rarer; the estimated abundance of primordial lithium is 10−10 relative to hydrogen.[5] The calculated abundance and ratio of 1H and 4He is in agreement with data from observations of young stars.[3]
The P-P II branch
In stars, lithium-7 is made in a proton-proton chain reaction.

The P-P II branch is dominant at temperatures of 14 to 23 MK.

Observed abundance of lithium
Despite the low theoretical abundance of lithium, the actual observable amount is less than the calculated amount by a factor of 3–4.[6] This contrasts with the observed abundance of isotopes of hydrogen (1H and 2H) and helium (3He and 4He) that are consistent with predictions.[1]

Older stars seem to have less lithium than they should, and some younger stars have much more.[8] One proposed model is that lithium produced during a star's youth sinks beneath the star's atmosphere (where it is obscured from direct observation) due to effects the authors describe as "turbulent mixing" and "diffusion," which are suggested to increase or accumulate as the star ages.[9] Spectroscopic observations of stars in NGC 6397, a metal-poor globular cluster, are consistent with an inverse relation between lithium abundance and age, but a theoretical mechanism for diffusion has not been formalized.[10] Though it transmutes into two atoms of helium due to collision with a proton at temperatures above 2.4 million degrees Celsius (most stars easily attain this temperature in their interiors), lithium is more abundant than current computations would predict in later-generation stars.[11][12]

Lithium is also found in brown dwarf substellar objects and certain anomalous orange stars. Because lithium is present in cooler, less massive brown dwarfs, but is destroyed in hotter red dwarf stars, its presence in the stars' spectra can be used in the "lithium test" to differentiate the two, as both are smaller than the Sun.[11][12][14]
Less lithium in Sun-like stars with planets
Sun-like stars without planets have 10 times the lithium as Sun-like stars with planets in a sample of 500 stars.[15][16] The Sun's surface layers have less than 1% the lithium of the original formation protosolar gas clouds despite the surface convective zone not being quite hot enough to burn lithium.[16] It is suspected that the gravitational pull of planets might enhance the churning up of the star's surface, driving the lithium to hotter cores where lithium burning occurs.[15][16] The absence of lithium could also be a way to find new planetary systems.[15] However, this claimed relationship has become a point of contention in the planetary astrophysics community, being frequently denied[17][18] but also supported.[19][20]
Higher than expected lithium in metal-poor stars
Certain orange stars can also contain a high concentration of lithium.[21] Those orange stars found to have a higher than usual concentration of lithium orbit massive objects—neutron stars or black holes—whose gravity evidently pulls heavier lithium to the surface of a hydrogen-helium star, causing more lithium to be observed.[11]
Proposed solutions
Possible solutions fall into three broad classes.
Astrophysical solutions
Considering the possibility that BBN predictions are sound, the measured value of the primordial lithium abundance should be in error and astrophysical solutions offer revision to it. For example, systematic errors, including ionization correction and inaccurate stellar temperatures determination could affect Li/H ratios in stars. Furthermore, more observations on lithium depletion remain important since present lithium levels might not reflect the initial abundance in the star. In summary, accurate measurements of the primordial lithium abundance is the current focus of progress, and it could be possible that the final answer does not lie in astrophysical solutions.[6]
Some astronomers suggest that the velocities of nucleons do not follow Maxwell-Boltzmann distribution. They test the framework of Tsallis non-extensive statistics.Their result suggest that 1.069<q<1.082 is a possible new solution to the cosmological lithium problem.[22]
Nuclear physics solutions
When one considers the possibility that the measured primordial lithium abundance is correct and based on the Standard Model of particle physics and the standard cosmology, the lithium problem implies errors in the BBN light element predictions. Although standard BBN rests on well-determined physics, the weak and strong interactions are complicated for BBN and therefore might be the weak point in standard BBN calculation.[6]
Firstly, incorrect or missing reactions could give rise to the lithium problem. For incorrect reactions, major thoughts lie within revision to cross section errors and standard thermonuclear rates according to recent studies.[23][24]
Second, starting from Fred Hoyle's discovery of a resonance in carbon-12, an important factor in the triple-alpha process, resonance reactions, some of which might have evaded experimental detection or whose effects have been underestimated, become possible solutions to the lithium problem.[25][26]
BBC Science Focus wrote in 2023 that "recent research seems to completely discount" such theories; the magazine held that mainstream lithium nucleosynthesis calculations are probably correct.[27]
Solutions beyond the Standard Model
Under the assumptions of all correct calculation, solutions beyond the existing Standard Model or standard cosmology might be needed.[6]
Dark matter decay and supersymmetry provide one possibility, in which decaying dark matter scenarios introduce a rich array of novel processes that can alter light elements during and after BBN, and find the well-motivated origin in supersymmetric cosmologies. With the fully operational Large Hadron Collider (LHC), much of minimal supersymmetry lies within reach, which would revolutionize particle physics and cosmology if discovered;[6] however, results from the ATLAS experiment in 2020 have excluded many supersymmetric models.[28][29]
Changing fundamental constants can be one possible solution, and it implies that first, atomic transitions in metals residing in high-redshift regions might behave differently from our own. Additionally, Standard Model couplings and particle masses might vary; third, variation in nuclear physics parameters is needed.[6]
Nonstandard cosmologies indicate variation of the baryon to photon ratio in different regions. One proposal is a result of large-scale inhomogeneities in cosmic density, different from homogeneity defined in the cosmological principle. However, this possibility requires a large amount of observations to test it.[30]
See also
References
- 1 2 Hou, S. Q.; He, J.J.; Parikh, A.; Kahl, D.; Bertulani, C.A.; Kajino, T.; Mathews, G.J.; Zhao, G. (2017). "Non-extensive statistics to the cosmological lithium problem". The Astrophysical Journal. 834 (2): 165. arXiv:1701.04149. Bibcode:2017ApJ...834..165H. doi:10.3847/1538-4357/834/2/165. S2CID 568182.
- ↑ Tanabashi, M.; Hagiwara, K.; Hikasa, K.; Nakamura, K.; Sumino, Y.; et al. (Particle Data Group) (2018-08-17). "Review of Particle Physics". Physical Review D. American Physical Society (APS). 98 (3): 030001. Bibcode:2018PhRvD..98c0001T. doi:10.1103/physrevd.98.030001. hdl:10044/1/68623. ISSN 2470-0010. and 2019 update.
- 1 2 Langmuir, C. H.; Broecker, W. S. (2012). How to Build a Habitable Planet: The Story of Earth from the Big Bang to Humankind. Princeton University Press. ISBN 978-0691140063.
- ↑ Boesgaard, A. M.; Steigman, G. (1985). "Big bang nucleosynthesis – Theories and observations". Annual Review of Astronomy and Astrophysics. Palo Alto, CA. 23: 319–378. Bibcode:1985ARA&A..23..319B. doi:10.1146/annurev.aa.23.090185.001535. A86-14507 04–90.
- ↑ Tanabashi, M.; et al. (2018). "Big-bang nucleosynthesis". In Fields, B. D.; Molaro, P.; Sarkar, S. (eds.). The Review (PDF). Vol. 98. pp. 377–382. Bibcode:2018PhRvD..98c0001T. doi:10.1103/PhysRevD.98.030001.
{{cite book}}
:|journal=
ignored (help) - 1 2 3 4 5 6 Fields, B. D. (2011). "The primordial lithium problem". Annual Review of Nuclear and Particle Science. 61 (1): 47–68. arXiv:1203.3551. Bibcode:2011ARNPS..61...47F. doi:10.1146/annurev-nucl-102010-130445.
- ↑ Stiavelli, M. (2009). From First Light to Reionization the End of the Dark Ages. Weinheim, Germany: Wiley-VCH. p. 8. Bibcode:2009fflr.book.....S. ISBN 9783527627370.
- ↑ Woo, M. (21 February 2017). "The Cosmic Explosions That Made the Universe". earth. BBC. Archived from the original on 21 February 2017. Retrieved 21 February 2017.
A mysterious cosmic factory is producing lithium. Scientists are now getting closer at finding out where it comes from
- ↑ Richard, O.; Michaud, G.; Richer, J. (2005-01-20). "Implications of WMAP Observations on Li Abundance and Stellar Evolution Models". The Astrophysical Journal. 619 (1): 538–548. arXiv:astro-ph/0409672. Bibcode:2005ApJ...619..538R. doi:10.1086/426470. ISSN 0004-637X. S2CID 14299934.
- ↑ Korn, A. J.; Grundahl, F.; Richard, O.; Barklem, P. S.; Mashonkina, L.; Collet, R.; Piskunov, N.; Gustafsson, B. (August 2006). "A probable stellar solution to the cosmological lithium discrepancy". Nature. 442 (7103): 657–659. arXiv:astro-ph/0608201. Bibcode:2006Natur.442..657K. doi:10.1038/nature05011. ISSN 1476-4687. PMID 16900193. S2CID 3943644.
- 1 2 3 Emsley, J. (2001). Nature's Building Blocks. Oxford: Oxford University Press. ISBN 978-0-19-850341-5.
- 1 2 Cain, Fraser. "Brown Dwarf". Universe Today. Archived from the original on 25 February 2011. Retrieved 17 November 2009.
- ↑ "First Detection of Lithium from an Exploding Star". Archived from the original on 1 August 2015. Retrieved 29 July 2015.
- ↑ Reid, N. (10 March 2002). "L Dwarf Classification". Archived from the original on 21 May 2013. Retrieved 6 March 2013.
- 1 2 3 Plait, P. (11 November 2009). "Want a planet? You might want to avoid lithium". Discover.
- 1 2 3
Israelian, G.; et al. (2009). "Enhanced lithium depletion in Sun-like stars with orbiting planets". Nature. 462 (7270): 189–191. arXiv:0911.4198. Bibcode:2009Natur.462..189I. doi:10.1038/nature08483. PMID 19907489. S2CID 388656.
... confirm the peculiar behaviour of Li in the effective temperature range 5600–5900 K ... We found that the immense majority of planet host stars have severely depleted lithium ... At higher and lower temperatures planet-host stars do not appear to show any peculiar behaviour in their Li abundance.
- ↑ Baumann, P.; Ramírez, I.; et al. (2010). "Lithium depletion in solar-like stars: no planet connection". Astronomy and Astrophysics. 519: A87. arXiv:1008.0575. Bibcode:2010A&A...519A..87B. doi:10.1051/0004-6361/201015137. ISSN 0004-6361.
- ↑ Ramírez, I.; Fish, J. R.; et al. (2012). "Lithium abundances in nearby FGK dwarf and subgiant stars: internal destruction, galactic chemical evolution, and exoplanets". The Astrophysical Journal. 756 (1): 46. arXiv:1207.0499. Bibcode:2012ApJ...756...46R. doi:10.1088/0004-637X/756/1/46. hdl:2152/34872. ISSN 0004-637X. S2CID 119199829.
- ↑ Figueira, P.; Faria, J. P.; et al. (2014). "Exoplanet hosts reveal lithium depletion". Astronomy & Astrophysics. 570: A21. arXiv:1409.0890. doi:10.1051/0004-6361/201424218. ISSN 0004-6361.
- ↑ Delgado Mena, E.; Israelian, G.; et al. (2014). "Li depletion in solar analogues with exoplanets". Astronomy & Astrophysics. 562: A92. arXiv:1311.6414. doi:10.1051/0004-6361/201321493. ISSN 0004-6361.
- ↑ Li, H.; Aoki, W.; Matsuno, T.; Kumar, Y. Bharat; Shi, J.; Suda, T.; Zhao, G.; Zhao, G. (2018). "Enormous Li Enhancement Preceding Red Giant Phases in Low-mass Stars in the Milky Way Halo". The Astrophysical Journal. 852 (2): L31. arXiv:1801.00090. Bibcode:2018ApJ...852L..31L. doi:10.3847/2041-8213/aaa438. S2CID 54205417.
- ↑ Hou, S. Q.; He, J. J.; Parikh, A.; Kahl, D.; Bertulani, C. A.; Kajino, T.; Mathews, G. J.; Zhao, G. (2017-01-11). "Non-Extensive Statistics to the Cosmological Lithium Problem". The Astrophysical Journal. 834 (2): 165. arXiv:1701.04149. Bibcode:2017ApJ...834..165H. doi:10.3847/1538-4357/834/2/165. ISSN 1538-4357. S2CID 568182.
- ↑ Angulo, C.; Casarejos, E.; Couder, M.; Demaret, P.; Leleux, P.; Vanderbist, F.; Coc, A.; Kiener, J.; Tatischeff, V.; Davinson, T.; Murphy, A. S. (September 2005). "The 7Be(d,p)2α Cross Section at Big Bang Energies and the Primordial 7Li Abundance". Astrophysical Journal Letters. 630 (2): L105–L108. arXiv:astro-ph/0508454. Bibcode:2005ApJ...630L.105A. doi:10.1086/491732. ISSN 0004-637X.
- ↑ Boyd, Richard N.; Brune, Carl R.; Fuller, George M.; Smith, Christel J. (November 2010). "New nuclear physics for big bang nucleosynthesis". Physical Review D. 82 (10): 105005. arXiv:1008.0848. Bibcode:2010PhRvD..82j5005B. doi:10.1103/PhysRevD.82.105005. ISSN 1550-7998. S2CID 119265813.
- ↑ Hammache, F.; Coc, A.; de Séréville, N.; Stefan, I.; Roussel, P.; Ancelin, S.; Assié, M.; Audouin, L.; Beaumel, D.; Franchoo, S.; Fernandez-Dominguez, B. (December 2013). "Search for new resonant states in 10C and 11C and their impact on the cosmological lithium problem". Physical Review C. 88 (6): 062802. arXiv:1312.0894. Bibcode:2013PhRvC..88f2802H. doi:10.1103/PhysRevC.88.062802. ISSN 0556-2813. S2CID 119110688.
- ↑ O'Malley, P. D.; Bardayan, D. W.; Adekola, A. S.; Ahn, S.; Chae, K. Y.; Cizewski, J. A.; Graves, S.; Howard, M. E.; Jones, K. L.; Kozub, R. L.; Lindhardt, L. (October 2011). "Search for a resonant enhancement of the 7Be + d reaction and primordial 7Li abundances". Physical Review C. 84 (4): 042801. Bibcode:2011PhRvC..84d2801O. doi:10.1103/PhysRevC.84.042801. ISSN 0556-2813.
- ↑ Alastair Gunn (16 June 2023). "The lithium problem: Why the element keeps disappearing". BBC Science Focus Magazine. Retrieved 17 June 2023.
- ↑ Collaboration, Atlas (2021). "Search for squarks and gluinos in final states with jets and missing transverse momentum using 139 fb$^{-1}$ of $\sqrt{s}$ =13 TeV $pp$ collision data with the ATLAS detector". Jhep. 02: 143. arXiv:2010.14293. doi:10.1007/JHEP02(2021)143. S2CID 256039464.
- ↑ Sutter, Paul (2021-01-07). "From squarks to gluinos: It's not looking good for supersymmetry". Space.com. Retrieved 2021-10-29.
- ↑ Holder, Gilbert P.; Nollett, Kenneth M.; van Engelen, Alexander (June 2010). "On Possible Variation in the Cosmological Baryon Fraction". Astrophysical Journal. 716 (2): 907–913. arXiv:0907.3919. Bibcode:2010ApJ...716..907H. doi:10.1088/0004-637X/716/2/907. ISSN 0004-637X.