Homofenazine
Clinical data
Trade namesPasaden,[1][2] Oldagen (in Argentina)[3][4]
Other namesHFZ[5]
ATC code
Legal status
Legal status
  • BR: Class C1 (Other controlled substances)[6]
  • Discontinued
Identifiers
CAS Number
PubChem CID
ChemSpider
UNII
ChEBI
ChEMBL
CompTox Dashboard (EPA)
Chemical and physical data
FormulaC23H28F3N3OS
Molar mass451.55 g·mol−1
3D model (JSmol)
Boiling point230–240 °C (446–464 °F) [7]
  • C1CN(CCN(C1)CCO)CCCN2C3=CC=CC=C3SC4=C2C=C(C=C4)C(F)(F)F
  • InChI=1S/C23H28F3N3OS/c24-23(25,26)18-7-8-22-20(17-18)29(19-5-1-2-6-21(19)31-22)12-4-11-27-9-3-10-28(14-13-27)15-16-30/h1-2,5-8,17,30H,3-4,9-16H2 checkY
  • Key:LOHNHQLZFYCAEQ-UHFFFAOYSA-N checkY

Homofenazine is an antipsychotic drug of the phenothiazines class.[5] It was synthesized by Wilhelm Schuler and colleagues at Degussa.[8][9] In 1966, it was released in Belgium under the brand name Pasaden.[1] At some point, it was quietly discontinued and is no longer marketed.

Synthesis

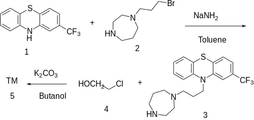
Thieme Patents (Ex 5&6):[10][11]

The alkylation between 2-(Trifluoromethyl)Phenothiazine [92-30-8] (1) and 1-(3-bromopropyl)-1,4-diazepane (2) led to 10-[3-(1,4-diazepan-1-yl)propyl]-2-(trifluoromethyl)phenothiazine, CID:110174391 (3). Further alkylation with 2-Chloroethanol [107-07-3] (4) completed the synthesis of homofenazine (5).

References

  1. 1 2 Schlesser JL (1990). 1991 Drugs available abroad: a guide to therapeutic drugs available and approved outside the U.S. Detroit : Gale Research. p. 107. ISBN 978-0-8103-7177-4. OCLC 1348900780.
  2. "Substâncias e remédios sob controle" [Substances and drugs under control] (PDF). Jornal do Brasil (in Brazilian Portuguese). 1986-11-05. p. 14. Archived (PDF) from the original on 2023-08-08. Retrieved 2023-08-08.
  3. Index Nominum 2000: International Drug Directory (17 ed.). Taylor & Francis. 2000. p. 1499. ISBN 9783887630751.
  4. Sitting, Marshall (1988). Pharmaceutical Manufacturing Encyclopedia (Vols 1&2, 2nd Ed) (2 ed.). Westwood, NJ: Noyes Publications. p. 769. ISBN 0-8155-1144-2. LCCN 87-31547. OCLC 52233518.
  5. 1 2 Martindale: the complete drug reference. London; Chicago: Pharmaceutical Press. 2007. p. 899. ISBN 978-0-85369-687-2. OCLC 1176310249.
  6. Anvisa (2023-03-31). "RDC Nº 784 - Listas de Substâncias Entorpecentes, Psicotrópicas, Precursoras e Outras sob Controle Especial" [Collegiate Board Resolution No. 784 - Lists of Narcotic, Psychotropic, Precursor, and Other Substances under Special Control] (in Brazilian Portuguese). Diário Oficial da União (published 2023-04-04). Archived from the original on 2023-08-03. Retrieved 2023-08-03.
  7. Elks J, Ganellin CR, eds. (1990). Dictionary of Drugs. Boston, MA: Springer US. p. 635. doi:10.1007/978-1-4757-2085-3. ISBN 978-1-4757-2087-7.
  8. The Merck index : an encyclopedia of chemicals, drugs, and biologicals. Whitehouse Station, NJ : Merck. 1996. p. 810. ISBN 978-0-911910-12-4. OCLC 1285743402.
  9. US patent 3040043, Schuler et al., "3-trifluoromethyl-10-[3'-(4"-(2"'-hydroxy ethyl)-homopiperazino)-propyl]-phenothiazine and 3-trifluoromethyl-10-[3'-(4"-(2"'-acetoxyethyl)-homopiperazino)-propyl]-phenothiazine", published 1962-06-19, issued 1962-06-19, assigned to Degussa.
  10. Schuler Wilhelm Alfons, Beschke Helmut, Schlichtegroll Ansgar Von, U.S. Patent 3,040,043 (1962 to Degussa).
  11. Helmut Beschke, Schuler Dr Wilhelm Alfons, DE1445648A1 (1968 to Degussa).
This article is issued from Wikipedia. The text is licensed under Creative Commons - Attribution - Sharealike. Additional terms may apply for the media files.