Naphthomycin A
Identifiers
3D model (JSmol)
ChEMBL
ChemSpider
  • InChI=1S/C40H46ClNO9/c1-20-11-9-8-10-12-23(4)40(51)42-34-33(41)39(50)31-28(38(34)49)18-26(7)37(48)32(31)36(47)25(6)17-24(5)35(46)22(3)14-16-27(43)15-13-21(2)30(45)19-29(20)44/h8-14,16-18,20,22,24,27,29,35,43-44,46,48H,15,19H2,1-7H3,(H,42,51)/b10-8-,11-9-,16-14-,21-13-,23-12-,25-17-/t20-,22-,24-,27-,29-,35-/m0/s1
    Key: AXEGRHYJHHPVDH-GGBROUGNSA-N
  • O=C1c2c3C(=O)/C(=C1/Cl)NC(=O)/C(=C\C=C\C=C/[C@H](C)[C@@H](O)CC(=O)\C(=C/C[C@H](O)\C=C/[C@H](C)[C@H](O)[C@H](\C=C(\C(=O)c2c(O)c(c3)C)C)C)C)C
Properties
C40H46ClNO9
Molar mass 720.26 g·mol−1
Except where otherwise noted, data are given for materials in their standard state (at 25 °C [77 °F], 100 kPa).
Infobox references

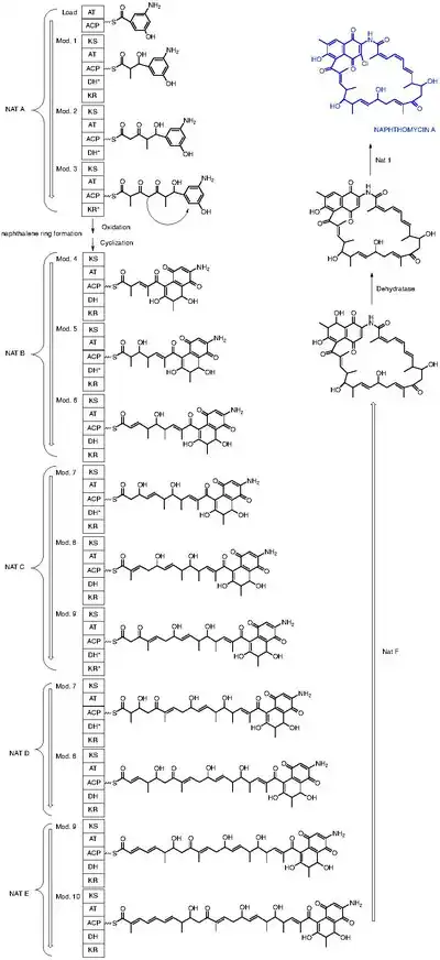
Naphthomycin A is a type of naphthomycin. It was isolated as a yellow pigment from Streptomyces collinus and it shows antibacterial, antifungal, and antitumor activities.[1] Naphthomycins have the longest ansa aliphatic carbon chain of the ansamycin family.[2] Biosynthetic origins of the carbon skeleton from PKS1 were investigated by feeding 13C-labeled precursors and subsequent 13C-NMR product analysis. Naphthomycin gene clusters have been cloned and sequenced to confirm involvement in biosynthesis via deletion of a 7.2kb region.[3] Thirty-two genes were identified in the 106kb cluster.[4]

The proposed naphthomycin biosynthetic pathway.[5] A, adenylation; KS, ketosynthase; AT, acyltransferase; T, acyl carrier protein or peptidyl carrier protein; DH, dehydratase; KR, ketoreductase; (*) redundant domain.

References

  1. Kang, Q.; Y. Shenb; L. Bai (2012). "Biosynthesis of 3,5-AHBA-derived natural products". Nat. Prod. Rep. 29 (2): 243–263. doi:10.1039/c2np00019a. PMID 22193711.
  2. Balerna, M.; W. Keller-Schierlein; C. Martius; H. Zahner (1969). "Stoffwechselprodukte von Mikroorganismen". Arch. Microbiol. 65 (4): 303–317. doi:10.1007/BF00412210. PMID 4988744. S2CID 31145406.
  3. Bai, L.; Y. Wu; Q. Kang; Y. Shen; Z. Deng (2012). Patent. CN: 2012-10300294: 225. {{cite journal}}: Missing or empty |title= (help)
  4. August, P.R.; L. Tang; Y.J. Yoon; S. Ning; R. MuEller; T.W. Yu; M. Taylor; D. Hoffman; C.G. Kim; X. Zahng; C.R. Hutchinson; H.G. Floss (1998). "Biosynthesis of the ansamycin antibiotic rifamycin: Deductions from the molecular analysis of the rif biosynthetic gene cluster of Amycolatopsis mediterranei S699". Chem. Biol. 5 (2): 69–79. doi:10.1016/S1074-5521(98)90141-7. PMID 9512878.
  5. Kang, Q; Y. Shenb; L. Bai (2012). "Biosynthesis of 3,5-AHBA-derived natural products". Nat. Prod. Rep. 29 (2): 243–263. doi:10.1039/c2np00019a. PMID 22193711.
This article is issued from Wikipedia. The text is licensed under Creative Commons - Attribution - Sharealike. Additional terms may apply for the media files.